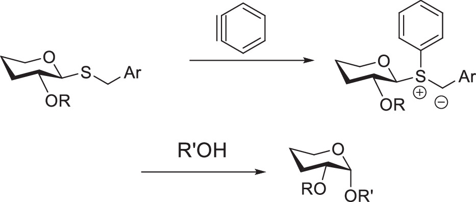
The García-López Group reviews how molecular photoswitches enable light-driven motion in rotaxanes, paving the way for intelligent materials, molecular machines, and nanoscale electronics.
Chemistry
Explore Opportunities
LSU Chemistry is one of six departments in the College of Science and is designated as a Foundation of Excellence Department due to the outstanding accomplishments of our faculty, staff, and students in terms of teaching/learning, research, and service. Our department has LSU's largest Ph.D. program and is one of the best-equipped chemistry departments in the United States.
In the News
Fighting Infections With a New Approach
LSU researchers are pioneering a new antibiotic approach to outsmart resistant bacteria and save lives worldwide.
LSU Chemistry Professor Mario Rivera and his cross-disciplinary research team are developing a new class of antibiotics that targets a part of bacterial physiology untouched by existing drugs. Rivera’s research focuses on blocking bacterial iron homeostasis, the process bacteria use to manage their iron supply, effectively starving them of the iron they need to survive. | Read More

Super Science Saturday
Super Science Saturday is a free science education event for kindergarten to 12th-grade students, parents, and anyone interested in seeing science in action!
Date: November 8, 2025
Time: 10 AM - 3 PM
Location: LSU Pete Maravich Assembly Center - Upper Level Concourse
Recent Publications









